当前位置:
政府信息公开
/
法定主动公开内容
/
药品及医用耗材采购
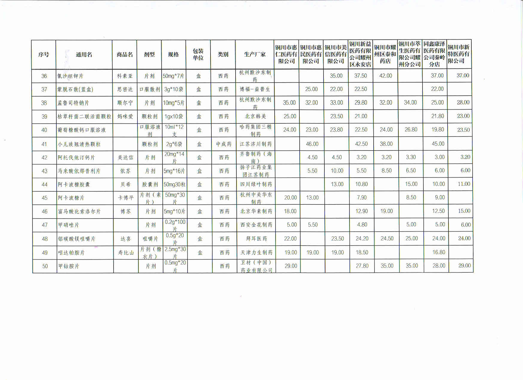
10月份铜川市耀州区部分药店常见药品价格监测表
来源:区医保局
作者:
发布时间:2025-10-31 14:54
阅读:人
字体大小:
大
中
小
打印
保存
收藏
网络编辑:白月姣
信息审核:刘鹏辉
扫一扫在手机打开当前页
标题:10月份铜川市耀州区部分药店常见药品价格监测表, 正文: